Do Dogs Benefit from Carbohydrates?
The debate surrounding whether dogs should eat carbohydrates is one of the most hotly discussed topics in the world of raw feeding. While dogs don’t have a strict nutritional requirement for carbs, there are several reasons why adding carbohydrates to their diet can be incredibly beneficial. In this post, we’ll dive into the arguments against carbohydrates and why I believe they can play an important role in many canine diet formulations.
What are Carbohydrates?
Let’s start by breaking down what carbohydrates actually are. Carbs are typically classified as monosaccharides, disaccharides, and polysaccharides. For the purpose of this discussion, we’ll focus on polysaccharides—starch and fiber. Starches are digestible in the small intestine, while fiber only gets broken down in the large intestine. Common carbs found in canine diets include oats, barley, rice, and various fruits and vegetables, but the options go far beyond these.
Can Dogs Digest Carbohydrates?
One of the main arguments against feeding carbs to dogs is the idea that since wolves (the dog’s wild ancestors) don’t eat carbs, our domesticated dogs shouldn’t either. However, as dogs have evolved alongside humans, they’ve developed the ability to digest carbohydrates more efficiently—thanks to certain genes.
In human digestion, carbohydrate breakdown starts in the mouth, where enzymes like salivary amylase begin the process. Dogs, however, don’t produce salivary amylase, so mechanical digestion is the only process happening in the mouth. The real breakdown of carbs happens in the small intestine, where pancreatic amylase starts breaking down starch into glucose and maltose.
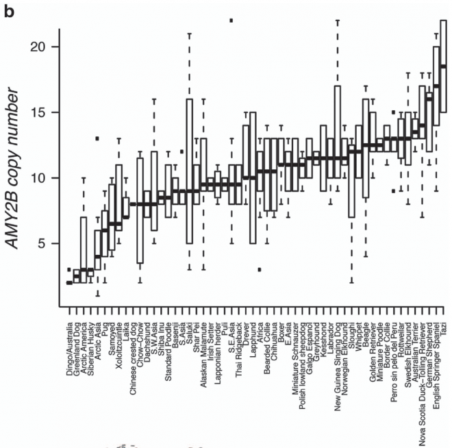
Studies have shown that while wolves carry only two copies of the gene AMY2B, which controls the production of pancreatic amylase, domesticated dogs carry up to 30 copies, depending on their breed. More copies of AMY2B correlate with a higher ability to digest starch. For instance, dogs from regions where agriculture thrived, like those from agrarian areas, tend to have more copies of this gene. This adaptation suggests that these dogs have evolved to handle carbs better than their wild ancestors.
Interestingly, the number of AMY2B copies can vary by breed. For example, Huskies, with just three copies of the gene, tend to do better on low-carb diets, while Salukis, with 24 copies, thrive on diets with higher carbohydrate content.
Another important gene in carb digestion is maltase-glucoamylase (MGAM). This enzyme is responsible for breaking down maltose (a type of sugar) into glucose, the body’s primary energy source. While dogs and wolves have the same number of MGAM copies, dogs have evolved to produce longer versions of the enzyme. This adaptation could potentially improve their ability to digest starch, though more research is needed to fully understand its role.

Chart showing the number of copies of AMY2B for different dog breeds
Cooking Makes Carbs Easier to Digest
As with humans, dogs are not able to digest uncooked carbohydrates well but cooking them increases the starch digestibility close to 100%. When starches are cooked, the small granules that make up carbohydrates expand which allows pancreatic amylase to have more ability to digest. There have been various studies done to show digestibility of different forms of carbohydrates such as rice, corn, oat, potato, tapioca, quinoa, millet and legumes. A study conducted by Carciofi et al. examined 6 extruded diets with different starch sources and found starch digestibility for all of the diets was over 98%. The carbohydrates included in this study were cassava flour, brewer’s rice, corn, sorghum, peas or lentils [5]. In another study, rice, corn and oats were examined where cooked oats were found to have a starch digestibility of 95.5% [9].
Should Dogs Eat Carbs?
The short answer is: it depends. There’s no one-size-fits-all approach when it comes to canine nutrition. Each dog has unique needs based on factors like breed, activity level, and medical conditions. But here are some reasons why some dog owners choose to include carbohydrates in their dog’s diet.
Carbohydrates Are Protein-Sparing
As stated above, dogs don’t have a nutritional requirement for carbohydrates but they do have a requirement for glucose. Glucose is used as an energy source for many body cells as well as in the synthesis of other nutrients such as nonessential amino acids, DNA and RNA. Glucose can either come from one of two sources- starch or proteins. If the diet is low in starch, the body will use proteins to provide necessary glucose to the body tissues via a process called gluconeogenesis. Gluconeogenesis uses the amino acids found in muscle proteins to make glucose. This will in turn decrease the amount of protein available for processes such as tissue repair and growth. Providing small amounts of carbohydrates in the diet will ensure that protein is used for its main functions [7].
There have been a couple studies conducted with pregnant dogs to determine reproductive success when fed carbohydrate free diets. The first study used a diet that contained only 26% protein and resulted in only 63% of puppies being alive at birth with a high puppy mortality rate shortly after birth. The dogs became hypoglycemic and ketotic as they were nearing the end of the pregnancies. They also had reduced blood concentrations of the amino acid alanine. This shows that the diet was not providing enough protein to successfully maintain a stable blood glucose level through gluconeogenesis. In contrast, the second study used diets containing 51% and 45% protein and there were no effects on the duration of gestation, litter size or puppy viability. A third study was done to determine the protein level required to alleviate the effects of a carbohydrate free diet fed during gestation and lactation. When carbohydrate is included in the diet, pregnant dogs require ~7 grams of protein per unit of metabolic body weight but if they were fed a carbohydrate free diet, that amount increases to ~12 grams [6] .
Carbohydrates Provide Dietary Fiber
While fiber isn’t technically required in a dog’s diet, it plays a crucial role in digestive health. Fiber helps maintain proper GI tract function and serves as a food source for gut microbes, promoting the production of short-chain fatty acids. Additionally, fiber can help manage health conditions like obesity and GI disorders.
Obesity
One thing that’s commonly said when owners are trying to get their dog to lose weight is that they are always begging for food. Fiber can play a huge role in managing this behavior. Providing a high protein, high fiber diet has been shown to be beneficial in overweight dogs due to the increased satiety it provides [12]. Insoluble fiber such as cellulose will increase the bulk in the stomach to promote satiety without increasing caloric intake. Soluble fibers slow gut transit time, so the addition of these fibers will also promote satiety due to the slowed digestion time. However, because soluble fiber is fermented in the large intestine, too much can cause increased gas so there needs to be a balance when formulating the diet [7].
GI Diseases
This term encompasses several disorders including gastric motility disorders, IBD, IBS, colitis, SIBO and gastroenteritis just to name a few. All of these disorders respond heavily to fiber manipulation but the amounts and balance of soluble and insoluble fiber vary between disease and often even the patient. In dogs with colitis for example, diets that are low, moderate and high in fiber have all been used successfully to manage the symptoms. Dogs with IBD are often recommended diets with low soluble fiber but moderate to high insoluble fiber to normalize transit time [7].
Carbohydrates Are Beneficial for Performance Dogs
Working dogs can be divided into 3 types of activities depending on the intensity of the physical activity. The 2 ends of the spectrum are endurance sports, where the physical activity will last many hours but at lower levels of exertion, and sprint activity, which requires high intensity physical activity that typically lasts less than 2 minutes. Activities that require moderate to low levels of intensity include sled pulling, police/ service work and frisbee trials. These dogs have been shown to derive most of their energy through aerobic pathways, which use fat. These dogs show decreased performance with the addition of significant amounts of carbohydrates in their diet, and typically require high fat diets.
Alternatively, dogs participating in sprint activities such as racing, agility and weight pulling, use anaerobic pathways to derive energy. Anaerobic pathways use glucose rather than fat. As discussed above, protein can be used to supply the body with glucose, but supplying carbohydrates can be beneficial. One study found that increasing protein and lowering carbohydrate in a racing greyhounds diet actually decreased performance [8]. While this study used only a very small sample size and the increased time it took to complete the race was minimal, it can be argued that carbohydrates do improve performance for sprint type activities.
Carbohydrates Can Be Beneficial for Therapeutic Conditions
There are many health conditions that benefit greatly from the addition of carbohydrates in the diet. We already discussed the addition of fiber for health conditions above, so now we will discuss how starch can be an important factor in these dogs’ diets. Because this is so dependent on each dog and their condition(s), I will just touch briefly on this topic.
There are 3 macronutrients that make up the diet- protein, fat and carbohydrates. Some conditions, such as GI disorders recommend low fat diets while others, such as kidney diseases are typically lower in protein (in terms of keeping minerals close to the recommended allowance). When diets are formulated for these dogs, one must make a decision on how to distribute the macronutrients in the best way for that dog. A dog with colitis for example would likely need a low fat diet- so most of the macronutrient profile would need to be carbohydrates and protein. In order to keep fat and carbohydrate low, large amounts of lean protein would be needed. Some potential problems with this would be cost to feed (lean meat is much more expensive) and balancing mineral levels in the diet. Most (but not all) dogs with colitis also tend to do better with higher levels of soluble fiber, which would mean increasing the amount of carbohydrates [7]. Now, what if that dog also has a kidney condition such as a history of struvite crystals. Lowering protein would not be the main goal, but keeping an eye on certain mineral levels is important and can be hard to achieve with lean meat. Lean meat is going to be more concentrated in nutrients than fattier cuts would be.
Another example would be a dog with a history of pancreatitis. Low fat, low to moderate protein diets are often recommended for these patients. High fat diets can be a factor in the onset of pancreatitis especially if the dog has a history. In addition, protein also promotes a strong pancreatic response so it is recommended to keep this low as well at least while the dog is recovering. This all means that the diets of dogs with a history of pancreatitis, or those recovering from an episode are likely going to need diets fairly high in carbohydrates- even as high as 80%. It is possible to slowly lower the carbohydrate content down after healing but they may always need a high carbohydrate diet [7].
Conclusion
While dogs don’t have a strict dietary requirement for carbohydrates, the addition of carbs can offer several health benefits. From supporting digestive health to aiding in weight management and performance, carbohydrates play an important role in canine nutrition. It’s important to remember that every dog is different, and their dietary needs should be tailored to their unique characteristics and health conditions. But for many dogs, a small amount of carbohydrates can be a great addition to their diet, especially when balanced with other nutrients.
Sources
- Arendt, Maja et al. “Amylase activity is associated with AMY2B copy numbers in dog: implications for dog domestication, diet and diabetes.” Animal genetics vol. 45,5 (2014): 716-22. doi:10.1111/age.12179
- Arendt, M, et al. “Diet Adaptation in Dog Reflects Spread of Prehistoric Agriculture.” Heredity, vol. 117, no. 5, 2016, pp. 301–306., https://doi.org/10.1038/hdy.2016.48.
- Axelsson, Erik et al. “The genomic signature of dog domestication reveals adaptation to a starch-rich diet.” Nature vol. 495,7441 (2013): 360-4. doi:10.1038/nature11837
- Botigue´, L. R. et al. Ancient European dog genomes reveal continuity since the Early Neolithic. Nat. Commun. 8, 16082 doi: 10.1038/ncomms16082 (2017).
- Carciofi, A C et al. “Effects of six carbohydrate sources on dog diet digestibility and post-prandial glucose and insulin response.” Journal of animal physiology and animal nutrition vol. 92,3 (2008): 326-36. doi:10.1111/j.1439-0396.2007.00794.x
- Case, Linda P., et al. “Carbohydrate Metabolism.” Canine and Feline Nutrition: A Resource for Companion Animal Professionals, 3rd ed., Mosby, Maryland Heights, MO, 2011, pp. 75–79.
- Hand, Michael S., et al. Small Animal Clinical Nutrition. 5th ed., Mark Morris Institute, 2010.
- Hill, R C et al. “Effect of increased dietary protein and decreased dietary carbohydrate on performance and body composition in racing Greyhounds.” American journal of veterinary research vol. 62,3 (2001): 440-7. doi:10.2460/ajvr.2001.62.440
- Moore, M. L., Fottler, H. J., Fahey, G. C., & Corbin, J. E. (1980). Utilization of Corn-Soybean Meal-Substituted Diets by Dogs. Journal of Animal Science, 50(5), 892–896. https://doi.org/10.2527/jas1980.505892x
- Ollivier, Morgane, et al. “Amy2b Copy Number Variation Reveals Starch Diet Adaptations in Ancient European Dogs.” Royal Society Open Science, vol. 3, no. 11, 1 Nov. 2016, https://doi.org/10.1098/rsos.160449.
- Reiter, Taylor, et al. “Dietary Variation and Evolution of Gene Copy Number among Dog Breeds.” PLOS ONE, vol. 11, no. 2, 2016, https://doi.org/10.1371/journal.pone.0148899.
- Weber, Mickaël, et al. “A High-Protein, High-Fiber Diet Designed for Weight Loss Improves Satiety in Dogs.” Journal of Veterinary Internal Medicine, vol. 21, no. 6, 28 June 2007, pp. 1203–1208., https://doi.org/10.1111/j.1939-1676.2007.tb01939.x.